2021考研数学高数:泰勒公式与等价无穷小替换的区别
新东方网整理 | 2020-08-14 23:07
分享至
1.请使用微信扫码
2.打开网页后点击屏幕右上角分享按钮
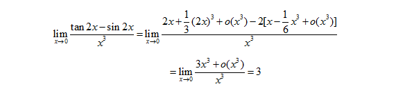
在考研数学中,利用等价无穷小替换或泰勒公式来计算极限是常考的考点。然而很多同学对于等价无穷小替换求解极限的运用不够灵活甚至常常犯错。究其原因主要有两个:一是学生平时努力不够,对于常见的等价无穷小没有准确记忆,并且对于此类求极限问题缺少练习;二是对于等价无穷小替换的实质还没有达到透彻的理解,使用的原则存在错记、混记的现象。比如练习时有这样的题目:


所以在求解极限问题的思路中利用泰勒公式比等价无穷小替换法则更一般、更普遍,在解决问题时往往倾向于接受和使用那些适用范围更广的思路和方法,关于等价无穷小替换和泰勒公式的使用,同学们要后期多加练习。
版权及免责声明
①凡本网注明"稿件来源:新东方"的所有图文、音视频等内容,版权均属新东方教育科技集团(含本网和新东方网)所有,未经本网协议授权不得转载、链接、转贴或以其他任何方式复制、发表。经授权使用时必须注明"稿件来源:新东方",违者本网将依法追究法律责任。
②本网未注明"稿件来源:新东方"的内容均为转载稿,本网转载仅基于信息传递之目的,并不表示认同其观点或证实其真实性。如拟从本网转载使用,必须保留本网注明的"稿件来源",并自负版权等法律责任。如擅自篡改为"稿件来源:新东方",本网将依法追究法律责任。
③如本网转载稿涉及版权等问题,请作者见稿后在两周内速与新东方网联系,邮箱:adm@xdf.cn。