考研数学:重积分变限积分函数的求导方法
积分学是高等数学的主要模块之一,在积分中很多情况下需要对变积分限的函数进行求导运算,例如,求变限积分函数极限时运用洛必达法则、求含变限积分且以参数形式表示的函数的导数、积分等式和不等式的证明等问题,这些情况不仅会出现在定积分中,而且有时也会出现在重积分中,下面网校考研数学的蔡老师就对重积分中变限积分函数的求导方法做些分析介绍,供考研复习和学习高等数学的同学参考。
一、重积分变限积分函数的求导方法
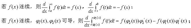
在二重积分或三重积分中,如果含有变积分限,当需要对变积分限中的变量求导时,可以通过引入辅助函数等方法,将重积分化为关于辅助函数的定积分,然后利用定积分中的对变积分限函数的以下求导公式进行求导计算:
当被积函数中含有求导变量时,应先用换元法或提出因式,使被积函数中不含求导变量,然后再用上述方法对变限积分的函数进行求导。
二、典型题型分析
通过上面的分析和例题看到,在重积分中很多情况下都会用到变限积分函数的求导公式,例如求含二重积分的函数极限、偏导数的计算、重积分等式或不等式的证明等,计算或证明中常把重积分转化成或看作定积分来求导,必要时须交换积分次序,求极限时常结合洛必达法则和等价无穷小代换等方法,同学们在解答考研数学中类似问题时要灵活运用所学的各种知识。
关键词:考研数学 重积分 变限积分求导
