2021高数重点题型:微积分中存在性问题怎么解
新东方网整理 | 2020-06-29 15:52
分享至
1.请使用微信扫码
2.打开网页后点击屏幕右上角分享按钮
微积分中存在性问题是高等数学重点题型,考生要掌握。微积分中存在性问题怎么解?本文跟大家具体讲解:
微积分中存在性问题的基本结论
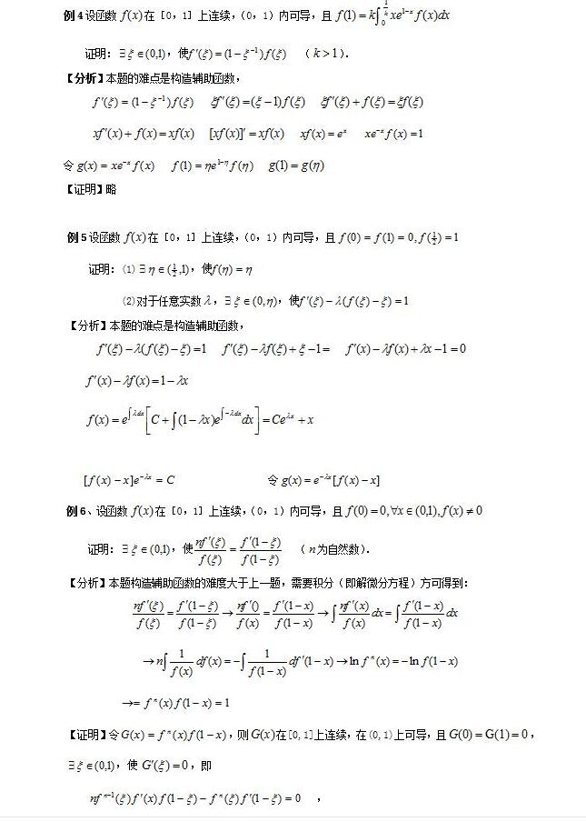
微积分中存在性问题的证明
存在性证明中辅助函数的构造方法
存在性证明中成功构造辅助函数是解题的关键。辅助函数大多来源于结论,从对结论的分析中得出辅助函数。



版权及免责声明
①凡本网注明"稿件来源:新东方"的所有图文、音视频等内容,版权均属新东方教育科技集团(含本网和新东方网)所有,未经本网协议授权不得转载、链接、转贴或以其他任何方式复制、发表。经授权使用时必须注明"稿件来源:新东方",违者本网将依法追究法律责任。
②本网未注明"稿件来源:新东方"的内容均为转载稿,本网转载仅基于信息传递之目的,并不表示认同其观点或证实其真实性。如拟从本网转载使用,必须保留本网注明的"稿件来源",并自负版权等法律责任。如擅自篡改为"稿件来源:新东方",本网将依法追究法律责任。
③如本网转载稿涉及版权等问题,请作者见稿后在两周内速与新东方网联系,邮箱:adm@xdf.cn。